C'est le père jésuite Angelo Secchi, dès 1868, qui élabora le premier classement, plus de 4000 étoiles, en fonction de leur couleur dans le spectre du visible.
La petite fraction du spectre électromagnétique visible s'étend du bleue (≈400nm) au rouge (≈700nm). Cela correspond aux couleurs de l'arc en ciel~.

C 'est dès 1868, que le père Angelo Secchi, en étudiant le spectre des étoiles, se rendit compte qu'il pouvait les classer selon 4 types de spectres, en fonction de leur couleur.
Au début du XXeme siècle, les astronomes ont alors cherché a être beaucoup plus quantitatif et qualitatif et ont élaboré la classification de Harvard (225 000 spectres) utililisé aujourd'hui.
Mais avant de develloper un peu, il faut revenir sur les différents types de spectres:
lorsque l’on décompose la lumière blanche du Soleil à travers un prisme, on observe un éventail de couleurs (du bleu au rouge).
- Le spectre continu :

On dit que le spectre de lumière blanche du Soleil est un spectre continu car on passe d’une couleur à l’autre sans interruption dans la succession des couleurs
Expérimentalement, on constate que tout corps (gazeux ou solide) sous haute pression et à haute température émet un rayonnement
- Le spectre de raies d’émission :

Si on analyse la lumière émise par une lampe de sodium (qui est un gaz chaud et dense) à l’aide d’un prisme, on constate que le spectre de la lumière émise par cette lampe est constitué de raies fines très intenses , qui se détachent sur le fond noir.
Le spectre obtenu est discontinu et est constitué d’un nombre limité de radiations : c’est ce qu’on appelle le spectre d’émission.
Les couleurs et la position des raies dans le spectre sont caractéristiques des atomes de gaz qui émettent ces radiations, autrement dit, chaque élément chimique et chaque état gazeux possède son propre spectre de raies.
Chaque raie d’émission de longueur d'onde λ correspond à la transition d'un electron, autour d'un noyau, depuis un niveau plus élevé vers un niveau inférieur et caractérisée par une énergie E. les électrons excités par la chaleur vont se désexciter en émettant des photons
L’électron effectue une transition d’énergie en émettant un photon d’énergie

-----> λ étant la longueur d’onde considérée pour la raie en question
- Le spectre de raies d’absorption :
Les atomes peuvent non seulement émettre de la lumière, mais également en absorber.

On peut le constater en faisant passer de la lumière blanche à travers un gaz froid et en dispersant la lumière derrière avec un prisme.
Lorsqu’un gaz à basse pression et à basse température est traversé par de la lumière blanche, le spectre de la lumière transmise est constitué de raies noires se détachant sur le fond coloré du spectre de la lumière blanche : c’est un spectre de raies d’absorption.
Un électron effectue une transition d’un état d’énergie vers un autre plus élevé autour du noyau en absorbant un photon d’énergie

La propriété importante d'un spectre de raies d’absorption, c’est que ces raies se produisent exactement au même endroit que les raies d’émission :

Le gaz froid absorbe les radiations qu’il serait capable d’émettre s’il était chaud.
Un spectre stellaire se présente comme un spectre continu sur lequel on trouve des raies d’émission ou des raies d’absorption qui correspondent à des éléments présents dans l’atmosphère de l’étoile ou de l'objet et qui sont caractérisés par des longueurs d’onde bien précises, appelées λ (lambda) et qui s’écrivent :
λ = h c / (E1 – E2)
Voici le spectre de notre étoile la plus proche, le soleil, une étoile de type G2:

Le spectre du soleil présente des raies d'absorption qui caractérisent les éléments chimiques constituant son atmosphère (sa photosphère). Le rayonnement continu émis par le gaz chaud au centre du soleil (plusieurs millions de degrés) subit une absorption par le gaz qui constitue sa photosphère et qui est plus froid, environ 5800Kelvin.
permet de classer les étoiles sur la base de la morphologie de ces spectres dans le visible, ou l'intensité et la largeur des raies spectrales a été mesuré. Les paramètres physiques caractérisés sont la température de la photosphère de l'étoile et sa composition chimique.

Cette série de spectre correspond à l’ensemble des types spectraux définis dans cette classification, qui vont depuis les étoiles chaudes (bleue) avec des types spectraux O, jusqu’à des étoiles froides (rouge) avec des types spectraux M.
On a défini ainsi une séquence : O. B. A. F. G. K. M.
(Moyen mnémotechnique pour la retenir : Oh, Be A Fine Girl, Kiss Me)
| Type Spectral | Température (K) | Raies d'absorption | Couleur-longueur d'onde en nanometres |
|---|---|---|---|
| O | <30 000 | Hélium ionisé Faibles raies d’hydrogène |
< 97 Ultraviolet |
| B | 30 000-10 000 | Raies d’hélium neutre Moyennes raies d’hydrogène |
97 – 290 Ultraviolet |
| A | 10 000-7500 | Très fortes raies d’hydrogène | 290 – 390 Violet |
| F | 7500-6000 | Moyennes raies d’hydrogène Moyennes raies de calcium ionisé |
390 – 480 bleu |
| G | 6000-5000 | Faibles raies d’hydrogène Fortes raies de calcium ionisé |
480 – 580 Jaune |
| K | 5000-3500 | Raies de métaux neutres et simplement ionisés – quelques molécules | 580 – 830 Rouge |
| M | <3500 | Fortes raies de molécules | > 830 infrarouge |
De plus, chaque catégorie est partagée en 10 subdivisions notées de 0 à 9 caractérisant une tranche plus précise de Température. Par exemple, une étoile de type A2 est plus proche du type B que du type suivant, F
Type des étoiles les plus proche :
| Etoile | Type | Distance du Soleil |
|---|---|---|
| Soleil | G 2 | |
| Proxima du Centaure | K 5 | 4, 2 années lumière |
| Alpha du Centaure A | G 2 | 4, 4 années lumière |
| Alpha du Centaure B | K 0 | 4, 4 années lumière |
| Etoile de Barnard | M 5 | 5, 9 années lumière |
Dans un volume de 20 années lumiere autour du soleil, on connait 117 étoiles:
| Type | O | B | A | F | G | K | M | B.D | W.D |
|---|---|---|---|---|---|---|---|---|---|
| Nombre | 0 | 0 | 2 | 1 | 6 | 16 | 78 | 8 | 6 |



On peut également classer les étoiles en fonction de leur luminosité, donc en fonction de leur surface πR2, autrement dit, de leur rayon donc de leur taille.
Dans une même séquence spectrale, l’aspect de certaines raies peut être sensiblement différent du fait de la gravité de l’étoile (pression à la surface). L’élargissement des raies avec la pression est directement reliée à la luminosité

On aboutit à une classification de luminosité :
I – supergéantes (avec 2 sous-ensembles a et b) : raies très fines dues à des gravités très faibles
II – géantes brillantes
III – géantes « normales »
IV – sous-géantes
V – naines
VI – sous-naines : gravités beaucoup plus fortes
VII – naines blanches (white dwarfs) gravités beaucoup plus fortes
- L’équation de Boltzmann :
Cette équation permet de décrire la probabilité d’occupation respective des niveaux a et b qu'occupe les électrons.

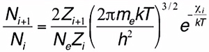
- L’équation de Saha :
Cette équation s’intéresse à un phénomène d’ionisation : comment peupler des niveaux d’ionisation successifs ?

Cette équation fait intervenir une grandeur Zi qu’on appelle la fonction de partition de l’état d’ionisation i.
La fonction de partition de l’état d’ionisation i s’exprime sous la forme d’une somme pondérée des probabilités d’occupation des différents niveaux de l’atome ou de l’ion que l’on considère

