Le 14 septembre 2015, sur les deux détecteurs Ligo (Hanford et Livingston, USA), les scientifiques détectent, pour la premiere fois de façon directe, une onde gravitationnelle générée par la coalescence de deux trous noirs. Après de nombreuses vérifications, l'annonce est officialisée le 11 février 2016.

Il s'agit là d'un évenement majeur, car cela valide une nouvelle technique pour sonder l'univers qui nous entoure, grâce aux détecteurs d'ondes gravitationnelles, un peu comme le fut la lunette de Galilée pour observer le ciel à partir de 1609.
Mais cette fois, il ne s'agit pas d'onde électromagnétique, autrement dit de lumière, mais d'ondes gravitationnelles. C'est à dire de l'observation d'une déformation du tissu de l'espace temps, une onde engendrée par un cataclysme cosmique qui se propage à la vitesse de la lumiere et qui n'interagit que très peu avec la matière. La détection des ondes gravitationnelles, préditent depuis 100 ans par Einstein, peut nous donner des informations sur des évenements cosmiques jusqu'ici inaccessibles et pourquoi pas sur les tout premiers instants après le big bang!
L'existance des ondes gravitationnelles était déjà connue et détecté mais de maniere indirecte grâce aux travaux de Hulse et Taylor sur le système binaire PSR1913+16 découvert en 1974.
L'une des étoiles du système est un pulsar, c'est-à-dire qu'elle émet un signal radio périodique associée à sa rotation. Ce signal est détecté sur Terre par le radio telescope d'Arecibo et permet de déduire la période orbitale du système. Cette période orbitale a été mesurée et suivie à partir de 1974.
La période de rotation est d'environ 59 millisecondes pour l'étoile principale, la séparation avec l'étoile compagnon vaut moins d'un million de Km, et la période orbitale est d'environ 8 heures, période déterminée à la milliseconde près, mais qui s'est avérée être variable

Sur le graphique de gauche, on s’aperçoit que la période orbitale diminue avec le temps. Cela veut dire que le système perd de l’énergie et qu'il spirale de plus en plus vite. Si l'on trace maintenant ce que prédit la théorie de la Relativité Générale en terme de perte d’énergie par émission d'ondes gravitationnelles, graphique de droite, nous voyons que la prédiction théorique colle parfaitement avec les points observationnels. Il s'agit là d'un succès éclatant de la théorie et une preuve forte de l'existence des ondes gravitationnelles.
Cela leur a valu le prix Nobel en 1993
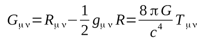
En 1915, Albert Einstein formule sa théorie de la Relativité Générale dans laquelle il
adopte une description géométrique de la gravitation. Les masses 'déforment' l'espace-temps
et, inversement, les déformations de l'espace-temps dictent le mouvement des
masses. La théorie de la relativité générale s'articule autour de l’équation d'Einstein mettant en évidence cette équivalence.


Dès 1916, Albert Einstein met en évidence la possibilité d'une solution ondulatoire à ses équations dans l'approximation de champs faibles, en introduisant une perturbation de la métrique se propageant dans un espace quasiment plat et vide, c'est à dire sans sources de champs gravitationnel.
En l'absence de gravitation, l'espace-temps peut être décrit par une métrique « plate » dite de "Minkowski" et représentée par le
tenseur suivant , qui décrit la géométrie de l'espace et du temps.
En introduisant une petite perturbation à cette métrique, hµv<<1, et si l'on se place dans ces conditions de champ faible, les équations d'Einstein peuvent être linéarisées. c’est à dire de les réécrire en ne considérant que les termes du premier ordre, linéaires. Pour cela, on linéarise les connexions affines en remplaçant gμv par ημv(métrique de Minkowski)+ hμv(perturbation) et en ne tenant pas compte des termes d’ordre supérieur en hμv
La solution, avec hµv, obéit à une équation d'onde plane se propageant dans le vide à la vitesse de la lumière,
il s'agit d'une onde gravitationnelle.
Pour comprendre les caractéristiques d'une source d'ondes gravitationnelles, regardons l'expression de la puissance gravitationnelle rayonnée:

Les sources astrophysiques peuvent donc être, par exemple, l'effondrement du coeur d'une supernovae, la coalescence d'un systeme binaire compact, la désexcitation de jeunes trous noirs, la rotation d'étoiles à neutrons...





Dans le cas de la détection du 14 septembre 2015, il s'agissait de la coalescence de deux trous noirs de 29 et 36 masses solaires ayant généré un trou noir de 62 masses solaires, soit l'équivalent de 3 masses solaires perdues sous forme d'énergie gravitationnelle.
Les ondes gravitationnelles sont des ondes se propageant dans le vide en déformant l'espace-temps de façon périodique, un peu comme une vague, en contractant et dilatant les distances alternativement, selon 2 polarisations
L'amplitude de l'onde est donnée par la relation delta L/L. Cette amplitude de la variation de longueur relative est de l'ordre de 10^-21 à 10^-23, c’est-à-dire extrêmement faible, et c'est cette variation relative que les scientifiques cherchent à mesurer pour détecter une onde gravitationnelle.
La très faible dilatation/contraction des bras, à cause du passage d’une onde gravitationnelle, va perturber la figure d'interférence produit par le laser et la quantité de lumière détectée va directement renseigner sur l’amplitude de l’onde.
Les détecteurs d'ondes gravitationnelles Ligo et Virgo sont au nombre de trois. Deux détecteurs Ligo aux Etats Unis à Hanford (Washington) et Livingston (Louisiane), chacun possédant des bras de 4km de long, et un détecteur en Europe, Ligo, en Italie (Pise) possédant des bras de 3km. Ligo et Virgo travaillent en étroite collaboration de façon à maximiser les chances de détection mais aussi de façon à pouvoir trianguler le signal et ainsi déterminer la source de l'objet. En effet, il est possible de mesurer la différence de temps d'arriver du signal, sur le même principe que le gps.
Dès lors, il est possible de tourner les télescopes et satellites d'observation dans cette direction et d'étudier l'objet en question au travers des ondes électro-magnétiques (gamma, X, visuel, radio...).
Lors de la détection du 14septembre 2015, le détecteur Virgo était en maintenance. Le signal n'a donc pas pu être triangulé avec exactitude, la zone de recherche a été évaluée à 600°² dans la direction du grand nuage de Magellan. C'est vaste, la pleine lune a un diamètre apparent d'environ 0,5°! L'origine de l'onde est évalué à plus d'1,3 milliards d'années-lumière.
L'intérêt d'avoir plusieurs détecteurs est également de pouvoir analyser les données par coïncidence et par réjection du bruit dans le signal puisqu'une éventuelle onde gravitationnelle doit être detectée sur chacun des détecteurs alors que les bruits sont indépendants.
La gestion des différents bruits fondamentaux, nombreux, représente un véritable défi scientifique et technologique!
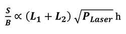
Par exemple, le bruit photonique. Le nombre de photon envoyé par le laser est fini et proportionnel au nombre de photon vu par la photodiode du détecteur. Mais la mesure du nombre de photons subit une fluctuation d’où une variation de puissance équivalente appelé bruit de photon. Cette fluctuation naturelle de puissance peut masquer l’effet de l’onde gravitationnelle. Le rapport Signal sur Bruit (S/B) est défini comme le rapport de ces deux quantités et depend de la longueur des bras (L1+L2) et de la puissance incidente.
Pour améliorer le rapport signal sur bruit, la sensibilité du détecteur, il faut donc pouvoir augmenter la longueur des bras et la puissance incidente du laser. C'est la raison pour laquelle les chercheurs ont eu l’idée de remplacer les bras de l’interféromètre par des cavités Fabry-Perot. En quelque sorte, la lumière va faire des aller-retours entre les miroirs du Fabry-Perot et accumuler l’effet de l’onde gravitationnelle. Ainsi, la lumière va faire l’équivalent d’une centaine d’aller-retours. Ensuite, comme l’interféromètre est réglé sur la frange noire, la majorité de la puissance est renvoyée vers le laser. En plaçant un miroir entre la séparatrice et le laser, il est possible de renvoyer ce faisceau réfléchi en phase avec le faisceau incident. Le gain de puissance est de l’ordre de 100. On appelle cette technique le recyclage de puissance. Enfin, la même approche peut être utilisée pour recycler le signal en plaçant un miroir entre la séparatrice et la photodiode. Cette technique est utilisée pour la nouvelle génération de détecteurs et a permis d'atteindre une sensibilité de l'ordre de 10^-24 par racine de Hertz. De même, le laser doit être stabilisé en forme, puissance et fréquence afin de ne pas introduire de perturbations parasites.
Ensuite, il y a les vibrations du sol qui provoquent un bruit bien supérieur au bruit de photon. Pour minimiser cela, les miroirs sont suspendus à une chaine de pendules qui se comporte comme des filtres passe bas:

De plus, pour obtenir les effets de résonance souhaités dans les cavités, les positions relatives des miroirs doivent être contrôlés avec des précisions de 10^-13 à 10^-15 mètres. Pour cela, il est nécessaire de mettre en place un contrôle actif de la position des miroirs.
Parmi les autres problèmes à traiter, il faut placer l’interféromètre sous vide afin que les fluctuations d’indices ne masquent pas le passage des ondes gravitationnelles. Cela représente un volume de plusieurs milliers de mètres cube à maintenir sans vibration à une pression de 10^-7 mbar.
En pratique, l’interféromètre est sensible à de très nombreuses perturbations externes et internes et atteindre la sensibilité nominale est un défi expérimental qui demande plusieurs années de mise au point. La découverte d'une onde gravitationnelle, le 14 septembre 2015 à ouvert la voie à une nouvelle ère d'observation, l'observation gravitationnelle.
La prochaine expérience sera spatiale. Ce sera LISA (Laser Interferometer Space Antenna) qui devrait être mise en orbite dans les années 2020 . Les objectifs astrophysiques de cette expérience sont différents de ceux de VIRGO et LIGO car elle n’opérera pas dans le même domaine de fréquence. Les scientifiques s’attendent à pouvoir observer la formation de trous noirs massifs, les collisions de trous noirs, la fusion de 2 galaxies tournant l’une autour de l’autre, etc…
Pour finir, voici les résultats obtenus par les deux détecteurs Ligo (H1 et L1) le 14 septembre 2015:



Pour en savoir plus: